Hóa chất vĩnh cửu (PFAS) là gì?
PFAS là một họ lớn các hợp chất hữu cơ tổng hợp có chứa chuỗi carbon, trong đó phần lớn hoặc toàn bộ các nguyên tử hydro được thay thế bằng fluor. Do độ bền và tính ổn định của liên kết carbon–fluor, PFAS thường rất bền và trơ về mặt hóa học, khiến chúng vừa hữu ích trong nhiều ứng dụng, vừa khó bị phân hủy. Tính bền vững này dẫn đến ô nhiễm môi trường và tích lũy sinh học trong cơ thể người và động vật hoang dã; vì vậy, PFAS thường được gọi là” hóachất vĩnh cửu”.
Các chất Per và Polyfluoroalkyl (PFAS) trong mỹ phẩm
Trong mỹ phẩm, PFAS được đánh giá cao nhờ các đặc tính như tạo nhũ, ổn định và khả năng chống nước hoặc mồ hôi. Mặc dù có những lợi ích đó, các mối lo ngại về độ an toàn của PFAS ngày càng gia tăng do sự phơi nhiễm trực tiếp từ việc sử dụng lặp lại trên da, mắt và miệng.
Nghiên cứu này mô tả quy trình hoàn toàn tự động trong việc định lượng 30 chất PFAS bay hơi trong mỹ phẩm, bao gồm nền, son môi, và mascara nhờ kết hợp bộ lấy mẫu tự động PAL3 Series 2 RTC và hệ thống GC/MS ba tứ cực Agilent 7010D
Giới thiệu
Các chất per- và polyfluoroalkyl (PFAS) là một họ lớn các hợp chất hữu cơ tổng hợp có chứa chuỗi carbon, trong đó phần lớn hoặc toàn bộ các nguyên tử hydro được thay thế bằng fluor. Do độ bền và tính ổn định của liên kết carbon– fluor, PFAS thường rất bền và trơ về mặt hóa học, khiến chúng vừa hữu ích trong nhiều ứng dụng, vừa khó bị phân hủy. Tính bền vững này dẫn đến ô nhiễm môi trường và tích lũy sinh học trong cơ thể người và động vật hoang dã; vì vậy, PFAS thường được gọi là ”hóa chất vĩnh cửu”.
Trong mỹ phẩm, PFAS được đánh giá cao nhờ các đặc tính chức năng như tạo nhũ, ổn định và khả năng chống nước hoặc mồ hôi. Mặc dù có những lợi ích đó, các mối lo ngại về độ an toàn của PFAS ngày càng gia tăng do sự phơi nhiễm trực tiếp từ việc sử dụng lặp lại trên da, mắt và miệng. Báo cáo năm 2024 của OECD nhấn mạnh những rủi ro liên quan đến PFAS trong các công thức mỹ phẩm, đặc biệt do khả năng gây ảnh hưởng lâu dài đến sức khỏe và môi trường. Các cơ quan quản lý trên toàn thế giới đang thực hiện những bước đi mạnh mẽ nhằm cấm hoặc hạn chế PFAS trong mỹ phẩm.
Ví dụ, tại EU, nhiều loại PFAS đã được quản lý theo các quy định REACH và POPs, bao phủ hầu hết các ngành công nghiệp, bao gồm cả mỹ phẩm. Quy định mỹ phẩm EU (EC) số 1223/2009 đã liệt kê năm loại PFAS vào danh mục các chất bị cấm. Một lệnh cấm rộng hơn trên toàn EU đang được triển khai, trong đó Pháp đã thông qua lệnh cấm PFAS trong mỹ phẩm có hiệu lực từ ngày 1 tháng 1 năm 2026, như một phần của đề xuất lớn hơn nhằm cấm PFAS trong các sản phẩm tiêu dùng. “Hoa Kỳ hiện vẫn chưa ban hành lệnh cấm PFAS trong mỹ phẩm ở cấp liên bang. FDA Hoa Kỳ đang đánh giá việc sử dụng PFAS trong mỹ phẩm theo thẩm quyền của Đạo luật Hiện đại hóa Quy định Mỹ phẩm (MoCRA) và dự kiến sẽ công bố báo cáo về mức độ an toàn và rủi ro vào cuối năm 2025.
Mặc dù chính phủ liên bang vẫn chưa có động thái cụ thể, nhiều bang tại Hoa Kỳ đã nhanh chóng ban hành hoặc triển khai các quy định cấm và yêu cầu báo cáo liên quan đến PFAS trong mỹ phẩm, với thời điểm có hiệu lực trải dài từ năm 2025 đến năm 2032. Canada đã đề xuất lệnh cấm sử dụng PFAS trong nhiều sản phẩm tiêu dùng, bao gồm cả mỹ phẩm. Năm 2024, Hàn Quốc đã bổ sung 12 chất PFAS vào danh sách các chất bị hạn chế trong sản phẩm mỹ phẩm. Cơ quan Bảo vệ Môi trường (EPA) của New Zealand cũng đã chính thức công bố lệnh cấm sử dụng PFAS trong mỹ phẩm, có hiệu lực từ ngày 31 tháng 12 năm 2026.
Khi các quy định liên quan đến PFAS tiếp tục thay đổi, việc phát triển một phương pháp phân tích nhạy và bền vững là điều thiết yếu để đáp ứng các yêu cầu nghiêm ngặt. Mục tiêu của nghiên cứu này là trình bày một quy trình hoàn toàn tự động sử dụng bộ lấy mẫu tự động PAL3 Series 2 RTC kết hợp với hệ thống GC/MS ba tứ cực Agilent 7010D để định lượng hơn 30 chất phân tích PFAS bay hơi trong mỹ phẩm. Hiệu năng của phương pháp tự động hóa bao gồm các đánh giá về độ nhạy, độ chính xác và độ lặp lại.
Thử nghiệm
Hóa chất và Vật tư tiêu hao Các chuẩn PFAS dạng tự nhiên và đánh dấu đồng vị được cung cấp bởi Wellington Laboratories Inc. (Guelph, ON, Canada), AccuStandard, Apollo Scientific, Santa Cruz Biotechnology và Cambridge Isotope dưới dạng dung dịch chuẩn và dạng bột. Ethyl acetate (EA) và hexan sử dụng trong nghiên cứu này được mua từ Sigma và đã được kiểm tra tính phù hợp cho phân tích PFAS.
Thiết bị
Một hệ thống Agilent 8890 GC kết hợp với bộ GC/TQ 7010D được trang bị nguồn ion HES 2.0, cùng với bộ lấy mẫu tự động PAL3 Series 2 RTC, đã được sử dụng cho phân tích này. Buồng bơm mẫu MMI và ống lót splitless (mã số 5190-2293) được sử dụng và quá trình tách sắc ký được thực hiện trên cột Agilent J&W DB-624 kích thước 30 m × 0.25 mm, 1.40 μm (mã số 122-1334UI). Quá trình cài đặt thiết bị được trình bày trong Hình 1. Phương pháp thu nhận dữ liệu cho 34 hợp chất PFAS dạng tự nhiên và bốn chất chuẩn nội (ISTD), bao gồm điều kiện GC và các thông số của TQ, đã được mô tả trong một tài liệu ứng dụng trước đó.

Hình 1. Hệ thống bao gồm GC Agilent 8890 kết hợp với GC/TQ Agilent 7010D, được ghép nối với bộ lấy mẫu tự động PAL3 Series 2 RTC.
Chuẩn bị tự động các dung dịch chuẩn hiệu chuẩn
Các dung dịch hiệu chuẩn được chuẩn bị tự động bằng bộ lấy mẫu tự động PAL3. Dung dịch chuẩn hỗn hợp gốc và dung dịch chuẩn hỗn hợp nội (ISTD) được chuẩn bị thủ công với nồng độ lần lượt là 1,0 và 0,1 µg/mL (ppm), trong dung môi pha trộn theo tỷ lệ 80:20 (EA:hexane). Sau đó, hệ thống PAL3 chuẩn bị các dung dịch chuẩn trung gian, tiếp theo là tám mức dung dịch chuẩn hiệu chuẩn trong khoảng từ 0,5 đến 100 ng/mL (ppb), với một lượng chất chuẩn nội (ISTD) không đổi được thêm vào mỗi mức. Các dung dịch chuẩn được trộn đều và sẵn sàng để tiêm vào GC
Chuẩn bị mẫu tự động
Quy trình chuẩn bị mẫu hoàn toàn tự động được minh họa ở Hình 2. Hỗn hợp các dung môi hữu cơ có độ phân cực khác nhau được khuyến nghị để chiết PFAS từ các nền mẫu có hàm lượng dầu cao, chẳng hạn như mỹ phẩm. Hỗn hợp của EA và hexane được sử dụng làm dung môi chiết nhằm tối đa hóa hiệu suất chiết đối với dải rộng các hợp chất PFAS. Bảy sản phẩm mỹ phẩm từ nhiều thương hiệu khác nhau— bao gồm kem nền, son môi và mascara—được thu mua tại địa phương và lựa chọn để phân tích. Các loại sản phẩm này trước đây đã được báo cáo là có chứa PFAS. 2,19 Trong số đó, một mẫu kem nền dạng lỏng có nền PFAS ở mức vết (dựa trên sàng lọc ban đầu) được chọn làm mẫu kiểm soát chất lượng (QC) cho nghiên cứu này. Ba mức QC được chuẩn bị bằng cách thêm chuẩn (spike) vào nền mẫu kem nền tại các nồng độ mục tiêu 50 μg/kg (mức QC thấp – LSQ), 125 μg/kg (mức QC trung bình – MSQ) và 250 μg/kg (mức QC cao – HSQ). Mỗi mức được chuẩn bị thành hai mẫu song song nhằm đánh giá hiệu năng của phương pháp về độ nhạy, hiệu suất thu hồi và độ tái lập. Một phần mẫu QC không được thêm chuẩn được sử dụng làm mẫu trắng nền (matrix blank, MB). Sáu sản phẩm mỹ phẩm còn lại được phân tích như các mẫu chưa biết nhằm đánh giá khả năng áp dụng của phương pháp đối với các loại mỹ phẩm khác nhau. (Ghi chú: Quy trình đầy đủ ở định dạng .xml có thể được cung cấp theo yêu cầu.)

Hình 2. Quy trình chuẩn bị mẫu tự động (Ghi chú: Trong quá trình xử lý mẫu có thực hiện bước pha loãng 25 lần).
Kết quả và thảo luận
Độ tuyến tính của phương pháp
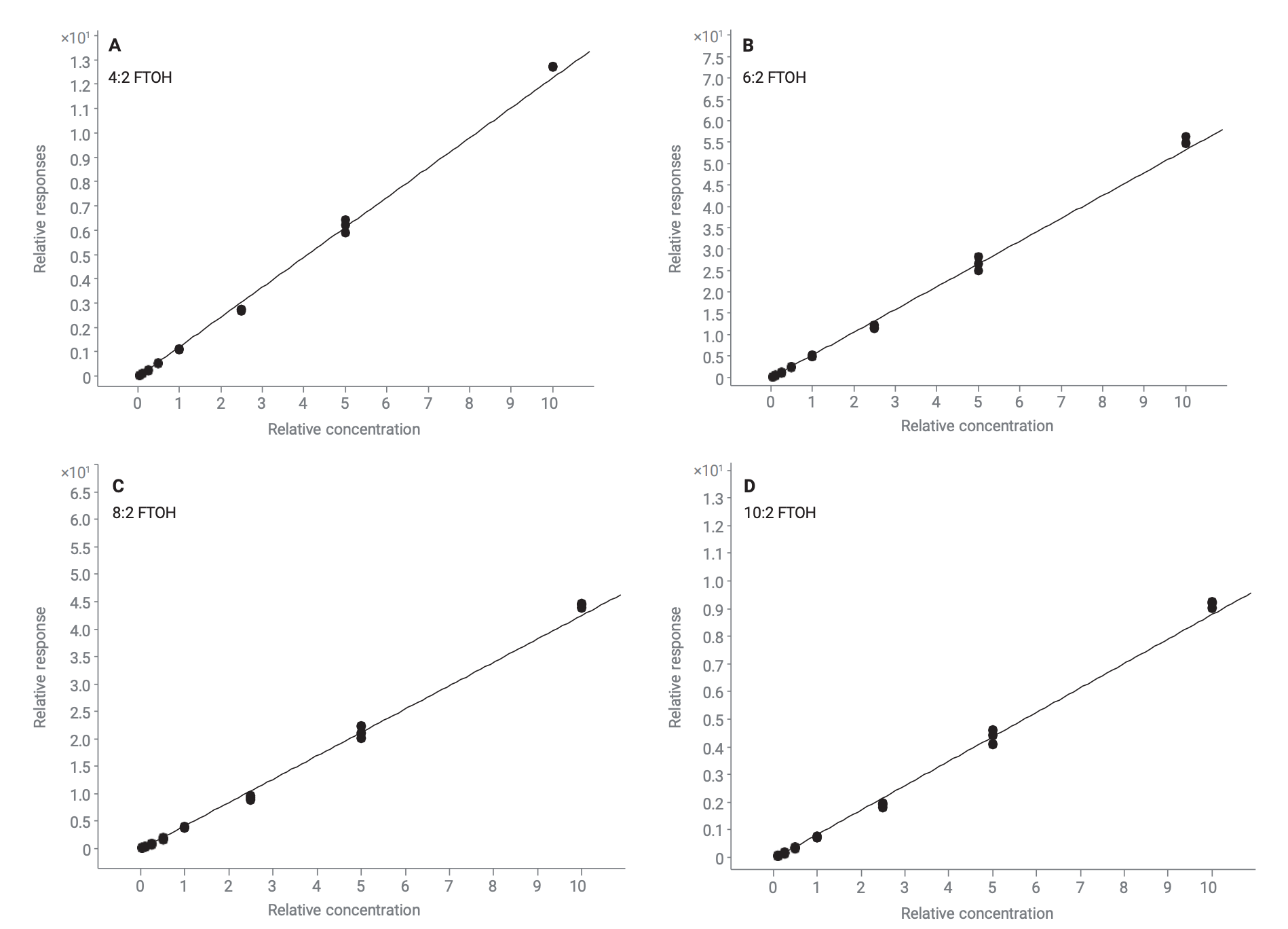
Hiệu năng hiệu chuẩn được đánh giá trên tám mức nồng độ của chất phân tích, trong khoảng từ 0,5 đến 100 ppb. Hồi quy tuyến tính được áp dụng, không ép qua gốc tọa độ và sử dụng hệ số trọng số 1/x. Độ tuyến tính của đường chuẩn đối với cả 34 hợp chất mục tiêu đều đạt R² > 0,99 với tối thiểu năm điểm hiệu chuẩn. Hình 3 minh họa độ tuyến tính của các hợp chất 4:2 FTOH (A), 6:2 FTOH (B), 8:2 FTOH (C) và 10:2 FTOH (D) trên toàn bộ dải mức hiệu chuẩn từ mức 1 đến mức 8, qua đó cho thấy hiệu suất rất tốt của bộ lấy mẫu tự động PAL3 trong việc chuẩn bị dung dịch hiệu chuẩn.

Hình 3. Độ tuyến tính của hợp chất FTOH đại diện: 4:2 FTOH (A), 6:2 FTOH (B), 8:2 FTOH (C), và 10:2 FTOH (D) trên toàn bộ dải hiệu chuẩn.
Độ nhạy phương pháp: MDL và LOQ
Giới hạn phát hiện của phương pháp (MDL) được đánh giá dựa trên chín lần tiêm liên tiếp mẫu QC. Các giá trị MDL, được tính toán bằng phần mềm Agilent MassHunter Quantitative Analysis phiên bản 12, được tổng hợp trong Bảng 1.
| STT | Tên hợp chất | Số CAS | ISTD | MDL (μg/kg) |
LOQ (μg/kg) |
Recovery at LOQ Level |
|---|---|---|---|---|---|---|
| 1 | 10:2 FTUCA | 70887-94-4 | 13C2-6:2 FTOH | 66.43 | 250 | 96% |
| 2 | 4:2 FTOH | 2043-47-2 | 13C2-6:2 FTOH | 0.62 | 50 | 101% |
| 3 | 1H,1H-Perfluoro-3,6,9-trioxadecan-1-ol | 147492-57-7 | 13C2-6:2 FTOH | 0.53 | 50 | 106% |
| 4 | PFHxDA | 67905-19-5 | 13C2-6:2 FTOH | N.D. | N.D. | < 20% |
| 5 | 3-(Perfluorohexyl)-1,2-epoxypropane | 38565-52-5 | 13C2-6:2 FTOH | 0.46 | 50 | 89% |
| 6 | 3:3 FTOH | 679-02-7 | 13C2-6:2 FTOH | 0.49 | 50 | 84% |
| 7 | 6:1 FTOH | 375-82-6 | 13C2-6:2 FTOH | 0.84 | 50 | 76% |
| 8 | 5H 4:1 FTOH | 355-80-6 | 13C2-6:2 FTOH | 0.45 | 50 | 82% |
| 9 | 6:2 FTOH | 647-42-7 | 13C2-6:2 FTOH | 0.48 | 50 | 69% |
| 10 | PFODA | 16517-11-6 | 13C2-6:2 FTOH | 2.91 | 125 | 74% |
| 11 | 1H,1H-Perfluorooctyl acrylate | 307-98-2 | 13C2-6:2 FTOH | 0.51 | 50 | 95% |
| 12 | ((2,2,3,3-Tetrafluoropropoxy)methyl)oxirane | 19932-26-4 | 13C2-6:2 FTOH | 0.45 | 50 | 87% |
| 13 | Nonafluoropentanamide | 13485-61-5 | 13C2-6:2 FTOH | 0.33 | 50 | 86% |
| 14 | 7H 6:1 FTOH | 335-99-9 | 13C2-6:2 FTOH | 0.61 | 50 | 68% |
| 15 | 8:2 FTOH | 678-39-7 | 13C2-6:2 FTOH | 0.65 | 50 | 82% |
| 16 | 10:1 FTOH | 307-46-0 | 13C2-6:2 FTOH | 0.59 | 50 | 85% |
| 17 | 7:3 FTOH | 25600-66-2 | 13C2-6:2 FTOH | 0.66 | 50 | 85% |
| 18 | 11:1 FTOH | 423-65-4 | 13C2-6:2 FTOH | 0.79 | 50 | 89% |
| 19 | 10:2 FTOH | 865-86-1 | 13C2-6:2 FTOH | 1.01 | 125 | 104% |
| 20 | Perfluoropentanamide | 355-81-7 | 13C2-6:2 FTOH | 0.45 | 50 | 84% |
| 21 | 8:2 FTAC | 2790545-9 | 13C2-6:2 FTOH | 1.46 | 50 | 105% |
| 22 | Perfluorooctanamide | 423-54-1 | 13C2-6:2 FTOH | 0.36 | 50 | 83% |
| 23 | 1H,1H,9H-Perfluorononyl acrylate | 4180-26-1 | 13C2-6:2 FTOH | 0.76 | 50 | 84% |
| 24 | MeFBSA | 68298-12-4 | 2H3-N-MeFOSA | N.D. | N.D. | < 20% |
| 25 | Triethoxy((perfluorohexyl)ethyl)silane | 51851-37-7 | d7-N-MeFOSE-M | 0.05 | 50 | 44% |
| 26 | 1H,1H,8H,8H-Perfluoro-3,6-dioxaoctane-1,8-diol | 129301-42-4 | 2H3-N-MeFOSA | 0.19 | 50 | 98% |
| 27 | MeFHxSA | 68259-15-4 | 2H3-N-MeFOSA | 0.09 | 50 | 48% |
| 28 | FBSA | 30334-69-1 | 2H3-N-MeFOSA | 0.27 | 50 | 73% |
| 29 | N-MeFOSA | 31506-32-8 | 2H3-N-MeFOSA | 0.09 | 50 | 78% |
| 30 | FHxSA | 41997-13-1 | 2H3-N-MeFOSA | 0.26 | 50 | 74% |
| 31 | N-EtFOSA | 4151-50-2 | 2H3-N-MeFOSA | 0.26 | 50 | 84% |
| 32 | PFOSA | 754-91-6 | 2H3-N-MeFOSA | 0.23 | 50 | 68% |
| 33 | N-MeFOSE | 24448-09-7 | d7-N-MeFOSE-M | 0.09 | 50 | 88% |
| 34 | N-EtFOSE | 1691-99-2 | 2H9-EtFOSE | 0.14 | 50 | 82% |
Phương pháp LOQs được trình bày trong Bảng 1 được thiết lập dựa trên các mức QC được spike trong nền mẫu, với hiệu suất thu hồi trong khoảng 60–110% và %RSD ≤ 20%. Bảng 4 minh họa phân bố giá trị LOQ trên toàn bộ các chất phân tích. Đáng chú ý, 29 trong số 34 hợp chất đạt LOQ = 50 µg/kg, cho thấy hiệu suất chiết cao và độ nhạy vượt trội của quy trình tự động đối với phần lớn các PFAS dễ bay hơi trong nền mẫu mỹ phẩm. Giá trị LOQ = 50 µg/kg cũng được áp dụng cho triethoxy (perfluorohexyl)ethyl)silane và MeFHxSA, dựa trên hiệu suất thu hồi ổn định trong khoảng 40–50% trên tất cả các mức QC.

Hình 4. Phân bố LOQ của phương pháp đối với tất cả các chất phân tích.
Hiệu suất thu hồi và độ lặp lại của phương pháp
Ba mức QC được spike trong nền mẫu đã được xác định và chuẩn bị song song ở các nồng độ 50 µg/kg (LSQ), 125 µg/kg (MSQ) và 250 µg/kg (HSQ). Chuẩn nội (ISTD) được spike sẵn vào các mẫu QC nhằm bù trừ ảnh hưởng của nền mẫu. Các mẫu QC đã spike này được thực hiện toàn bộ quy trình chiết, với tự động hóa bằng bộ lấy mẫu PAL3, như minh họa trong Hình 2. Hiệu suất thu hồi của các hợp chất mục tiêu được tính toán dựa trên hai lần chuẩn bị kỹ thuật song song, mỗi lần tiêm lặp lại ba lần (n = 6). Độ lặp lại của phương pháp được đánh giá thông qua việc tính %RSD của hiệu suất thu hồi từ hai lần chuẩn bị kỹ thuật tại mỗi mức QC.
Nhìn chung, ≥ 80% các chất phân tích cho hiệu suất thu hồi nằm trong khoảng chấp nhận được từ 60–110% trên cả ba mức QC. Hiệu suất thu hồi tại mức LOQ của tất cả các chất phân tích được tổng hợp trong Bảng 1. Đáng chú ý, giá trị %RSD < 16% đã đạt được cho tất cả các chất phân tích tại mức MSQ (Hình 5), đáp ứng các yêu cầu hiệu năng chung đối với phân tích PFAS trong các nền mẫu khác.
Hình 6 trình bày các sắc ký đồ chồng lên nhau của 4:2 FTOH (A), 6:2 FTOH (B) và 8:2 FTOH (C) tại mức LOQ, thu được từ hai lần chuẩn bị kỹ thuật, tương ứng với nồng độ sẵn sàng tiêm là 2 ppb. Các kết quả này nhấn mạnh độ tin cậy và tính ổn định cao của quy trình tự động trong phân tích PFAS trong sản phẩm mỹ phẩm.

Hình 5. %RSD của hiệu suất thu hồi đối với tất cả các hợp chất mục tiêu tại mức MSQ..

Hình 6. Chromatogram overlaid of 4:2 FTOH (A), 6:2 FTOH (B), and 8:2 FTOH (C) at LOQ level from two technical preparations.
Phân tích mẫu
Bảy mẫu mỹ phẩm từ nhiều thương hiệu — bao gồm kem nền, son môi và mascara — đã được phân tích. Một mẫu kem nền được chỉ định làm mẫu kiểm soát chất lượng (QC), trong khi sáu mẫu còn lại được xử lý như các mẫu chưa biết. Theo báo cáo của OECD công bố năm 2024, các sản phẩm mỹ phẩm như dầu gội, mỹ phẩm trang điểm mắt, kem nền, sữa rửa mặt, son môi và son bóng có thể chứa PFAS, những chất này được sử dụng nhằm đảm nhiệm các chức năng nhất định hoặc cải thiện hiệu năng sản phẩm. 2,19 Trong nghiên cứu này, một số hợp chất PFAS đã được phát hiện cao hơn giới hạn phát hiện của phương pháp (MDL) trong các mẫu chưa biết, bao gồm 10:2 FTOH, MeFHxSA, MeFOSE, EtOSE và 1H,1Hperfluorooctyl acrylate. Kết quả cũng cho thấy quy trình tự động mang lại hiệu quả cao trong việc chiết tách và định lượng PFAS trong nền mẫu mỹ phẩm.
Kết luận
Một quy trình tự động chính xác và ổn định đã được phát triển thành công bằng cách sử dụng bộ lấy mẫu tự động PAL3 Series 2 RTC kết hợp với hệ GC/TQ Agilent 7010D để phân tích các PFAS dễ bay hơi trong sản phẩm mỹ phẩm. Phần lớn các hợp chất PFAS mục tiêu đạt LOQ = 50 µg/kg và MDL < 1,5 µg/kg, với hiệu suất thu hồi nằm trong khoảng chấp nhận được từ 60–110%. Các kết quả này cho thấy hiệu suất chiết cao và độ tin cậy vượt trội của quy trình tự động. Ngoài ra, tự động hóa giúp giảm đáng kể sai sót do con người và nâng cao năng suất, đồng thời vẫn duy trì độ nhạy cao trong phân tích PFAS.

English